Радио?.. Это очень просто!
вернуться

Айсберг Евгений Давыдович

Шрифт:
НЕЗНАЙКИН ОЧАРОВАН СУПЕРГЕТЕРОДИНОМ

Л. — Успокойся, я тебе не открыл еще одного из главных преимуществ супергетеродина: цепи усилителя промежуточной частоты настроены раз и навсегда на одну и ту же постоянную частоту. Гетеродин настраивают так, чтобы для каждой принимаемой частоты его ток, складываясь с током антенны, давал всегда одну и ту же результирующую частоту, равную промежуточной.

Н. — Я думаю, что числовой пример здесь не будет лишним.

Л. — Допустим, что мы имеем супергетеродин, каскады промежуточной частоты которого настроены на частоту 465 кгц. Чтобы принять сигнал передающей станции с частотой 600 кгц (волна 500 м), необходимо настроить гетеродин на частоту 1 065 кгц; тогда результирующая частота будет равна разности составляющих частот: 1 065–600 = 465 кгц.

Чтобы принять другой сигнал с частотой 850 кгц надо настроить гетеродин на частоту 1 315 кгц; тогда мы снова получим 1 315 – 850 = 465 кгц.

Н. — Теперь мне кажется, что я понял. В результате контуры настройки усилителя промежуточной частоты совсем не надо настраивать каждый раз при переходе от одной станции к другой. Я думаю, что поэтому нам и не надо применять конденсаторы переменной емкости, потому что настройка контуров не меняется. Следовательно, в супергетеродине имеются только два контура, требующих настройки: входной контур (настраиваемый на принимаемый сигнал) и контур гетеродина (который надо настраивать на частоту, большую или меньшую, чем принимаемый сигнал, на величину промежуточной частоты).

Таким образом, настройка оказывается очень простой.

Л. — Еще проще, чем ты думаешь. Оба конденсатора обычно управляются одной и той же ручкой. При этом разность частот настройки постоянна, независимо от положения роторов конденсаторов.

Н. — Но каким образом осуществляют практически наложение двух колебаний?

Л. — Существует тысяча и один способ преобразования частоты, принцип действия которых примерно один и тот же. Поэтому достаточно рассмотреть основные и особенно наиболее распространенные.

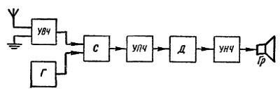
Одна из наиболее старых схем (рис. 93) хорошо иллюстрирует принцип работы супергетеродина. В контур L2C2 гетеродина на отдельной лампе Л2 включена маленькая катушка связи L3, которая индуктивно связана с катушкой L1 входного контура. Благодаря этой связи колебания гетеродина вводятся в контур Л1С1. Таким образом, на сетку лампы Л1, одновременно подаются два переменных напряжения: напряжение, возбуждаемое в антенне, и напряжение от гетеродина. Лампа Л1 работает как анодный детектор благодаря смещению за счет сопротивления в ее катоде. В результате детектирования двух колебаний, поданных на сетку лампы Л1, образуется промежуточная частота.

Схема приемника включает также два каскада усиления промежуточной частоты (Л3 и Л4) с настроенной трансформаторной связью, затем детектор (Л5) и усилитель низкой частоты (Л6).

Pиc. 93. Схема супергетеродина с гетеродином на отдельной лампе.

Н. — Рассматривая схему, я вижу, что цепи настройки усилителя промежуточной частоты имеют шесть колебательных контуров. Думаю, что в результате этого приемник должен иметь огромную избирательность.

Л. — Конечно. В этом состоит еще одно преимущество супергетеродина. В приемниках прямого усиления на высокой частоте нельзя увеличивать число настраивающихся контуров, хотя бы из-за трудности одновременной настройки их конденсаторами переменной емкости. В то же время в супергетеродинах ничто не мешает увеличению числа колебательных контуров, потому что их настройка, по крайней мере в каскадах усиления промежуточной частоты, является неизменной.

Н. — Я чувствую, что очарован преимуществами приемника с преобразованием частоты. Могу я начать строить приемник по схеме, приведенной на рис. 93?

СЕТКИ РАЗМНОЖАЮТСЯ

Л. — И не мечтай. Эта схема полна недостатков. Уже давно не подводят к одному электроду лампы два колебания, а также избегают такой сильной связи между входным колебательным контуром и контуром гетеродина.

Н. — Сильная связь имеет недостатки?

Л. — Да, и серьезные. Так как разница в настройке контуров незначительна, гетеродин может начать генерировать колебания не на частоте контура L2C2, а на частоте входного контура L1C1; тогда не будет происходить преобразования частоты.

  • Читать дальше
  • 1
  • ...
  • 41
  • 42
  • 43
  • 44
  • 45
  • 46
  • 47
  • 48
  • 49
  • 50
  • 51
  • ...

Private-Bookers - русскоязычная библиотека для чтения онлайн. Здесь удобно открывать книги с телефона и ПК, возвращаться к сохраненной странице и держать любимые произведения под рукой. Материалы добавляются пользователями; если считаете, что ваши права нарушены, воспользуйтесь формой обратной связи.

Полезные ссылки

  • Моя полка

Контакты

  • help@private-bookers.win

Подпишитесь на рассылку: