Мерчандайзинг
вернуться

Логинова Елена Юрьевна

Шрифт:

В процессе анализа динамики товарооборота используют систему индексов:

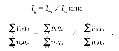
1) индекс физического объема товарооборота (Iф);

2) индекс товарооборота в фактически действовавших (текущих) ценах (Iт);

3) индекс цен (Iц).

Индекс физического объема товарооборота отражает воздействие изменения количества и структуры реализованных товаров на динамику показателя.

Индекс рассчитывают по формуле:

где р0— цена i-го товара в базисном периоде;

р1— цена i-го товара в отчетном периоде;

q0— количество i-го товара, реализованного в отчетном периоде;

q1— количество i-го товара, реализованного в базисном периоде;

i – вид товара;

п – число видов товаров.

Индекс товарооборота в фактически действовавших (текущих) ценах показывает изменение совокупной стоимости реализованных товаров за анализируемый период времени. На состояние показателя воздействуют 2 фактора: количество проданных товаров и динамика цен. Индекс рассчитывают по формуле:

Использование индекса цен в анализе товарооборота в условиях заметного воздействия инфляционных процессов на экономическую жизнь страны, определивших высокие темпы обесценивания денег и роста цен, имеет исключительное значение. Индекс цен отражает изменение совокупной стоимости определенного количества товаров в течение рассматриваемого периода. Индекс рассчитывают по формуле:

Между рассмотренными индексами существует математическая зависимость:

Проведение анализа производственно-торговой деятельности магазина осложняется в связи с недостатками в планировании, учете и отчетности. Так, нормативы товарных запасов, как правило, устанавливают в целом по предприятию без их подразделения по товарным группам. Не составляют планы по поступлению и остальному выбытию сырья и покупных продуктов. Большинство фирм и организаций вообще не составляют планы хозяйственной и другой деятельности. В отчетности отсутствуют сведения о поступлении отдельных видов сырья и покупных товаров, прочем выбытии продукции и др. В результате необходимо делать дополнительные трудоемкие расчеты, выборки и не всегда возможно целиком решить задачи, поставленные при проведении анализа хозяйственной деятельности.

Если в течение исследуемого периода изменились розничные цены и наценки, а, соответственно, и продажные цены, то анализ товарооборота и выпуска собственной продукции должен проводиться как в действующей, так и в сопоставимой оценках. Для определения товарооборота (выпуска собственной продукции) в сопоставимых ценах следует его фактический объем с периода действия новых цен продажи разделить на средний индекс цен. Розничный товарооборот является составной частью товарооборота города (района) и в существенной степени покрывает покупательные фонды населения. В результате выполнение плана и динамику их товарооборота необходимо изучать в увязке с анализом развития розничного товарооборота города и покупательской способности населения. Анализ товарооборота проводят по его общему объему и составу.

Анализ динамики товарооборота должен осуществляться не только в сопоставлении с данными прошлого года, но и за ряд лет (в действующих и сопоставимых ценах). Экономисты России, стран ближнего и дальнего зарубежья советуют изучать динамику товарооборота и других коэффициентов хозяйственной деятельности фирм не менее чем за 3 года.

Анализ товарной структуры оборота выступает дальнейшей конкретизацией анализа товарооборота торгового предприятия и его главной ступенью. Цель анализа товарной структуры оборота состоит в установлении спроса населения на определенную продукцию в отчетном периоде, исследовании изменений в схеме товарооборота относительно предшествующего периода. В процессе такого анализа ожидаемые параметры за отчетный год сопоставляются с отдельными параметрами предыдущего этапа.

Применяются абсолютные суммы оборота по отдельным товарным группам, а также значение групп товаров в общем товарообороте. Такое сравнение дает возможность установить, насколько возросла продажа населению определенных товаров, какие сдвиги произошли в структуре товарооборота за прошлый период, в какой степени увеличилась продажа наиболее ценных видов продукции и изменился их удельный вес в общем товарообороте.

Помимо этого, анализ товарной структуры оборота требует рассмотрения внутригруппового ассортимента реализованных товаров.

В различные периоды года продажа ряда изделий имеет специфику и показывает существенные колебания в реализации, определенные характером спроса и предложения этих товаров.

Воздействие на объем реализации товаров, слагаемых товарного баланса, можно рассчитать способом цепной подстановки или способом расчета разницы между фактическими и плановыми показателями либо фактическими параметрами в динамике. На объем товарооборота непосредственное воздействие оказывают также факторы, связанные с численностью сотрудников, производительностью труда, а также с применением основных средств. Аналитическая работа заканчивается выводами об итогах и перспективах увеличения общего объема и изменениях структуры продажи товаров.

  • Читать дальше
  • 1
  • ...
  • 20
  • 21
  • 22
  • 23
  • 24
  • 25
  • 26
  • 27
  • 28
  • 29
  • 30
  • ...

Private-Bookers - русскоязычная библиотека для чтения онлайн. Здесь удобно открывать книги с телефона и ПК, возвращаться к сохраненной странице и держать любимые произведения под рукой. Материалы добавляются пользователями; если считаете, что ваши права нарушены, воспользуйтесь формой обратной связи.

Полезные ссылки

  • Моя полка

Контакты

  • help@private-bookers.win

Подпишитесь на рассылку: