Космос
вернуться

Саган Карл

Шрифт:

цивилизаций). Но главное - высказывание Бора вырвано из контекста и искажено. Полностью цитата звучит так: «Противоположностью правильного утверждения является ложное утверждение. Но противоположность глубокой истины вполне может оказаться другой глубокой истиной» (The opposite of a correct statement is a false statement. But the opposite of a profound truth may well be another profound truth). Эту формулировку невозможно опровергнуть таким простым способом, как это делает Саган. Во-первых, понятие противоположности гораздо шире отрицания. Например, отрицанием суждения «эгоизм - полезная черта характера» будет утверждение «эгоизм -вредная черта характера». Безусловно, это отрицание является одновременно и противоположным суждением. Но вот суждение «альтруизм - полезная черта характера» хотя и противоположно исходному суждению, отрицанием его не является. И между прочим, все эти утверждения можно назвать глубокими. Во-вторых, согласно Бору, если бы даже суждение, противоположное его афоризму, оказалось ложным, это вовсе не было бы опровержением. Просто это говорило бы о том, что данный афоризм не является глубокой истиной, а претендует лишь на роль правильного суждения, отрицание которого ложно. В-третьих, в оригинальном высказывании Бора не говорится, что противоположность любой глубокой истины обязательно является глубокой истиной. Утверждается лишь, что это возможно. Поэтому вполне правомерно допустить, что само суждение Бора является глубокой истиной, но его отрицание таковой не является.
– Пер.

чтобы у них не было общих делителей. Если мы, например, заявляем, что 2 = 14/10, то, безусловно, можем сократить эту дробь на множитель 2 и записать: p = 7, q = 5 вместо p = 14, q = 10. Будем далее считать, что у числителя и знаменателя сокращены все общие множители. Для выбора значений p и q y нас остается бесконечное число вариантов. Возведя в квадрат равенство 2 = p/q, получим: 2 = р 2/q 2, или после домножения обеих частей на q 2:

p 2 = 2q 2. (1)

Таким образом, р 2 представляет собой некоторое число, умноженное на 2. Однако квадрат любого нечетного числа является нечетным числом (12 = 1,32 = 9, 52 = 25, 72 = 49 и т. д.). Получается, что само число должно быть четным, то есть можно записать = 2s, где s - некоторое целое число. Подставив его в уравнение (1), находим:

p 2 = (2s )2 = 4s 2 = 2q 2.

Деление обеих частей последнего равенства на 2 дает: g 2 = 2s 2. То есть q 2 тоже является целым числом, и, опираясь на тот же аргумент, что был использован для р , мы заключаем, что q тоже является четным. Но если числа p и q оба делятся на два, значит, они содержат несокращенный общий делитель, что противоречит нашему предположению. Reductio ad absurdum. Но в чем состояло предположение? Доказательство не может запретить нам сократить общие множители, разрешив использовать 14/10, но запретив 7/5. Поэтому ошибочным должно быть начальное предположение: p и q не могут быть целыми числами, a 2 является иррациональным числом. В действительности 2 = 1,4142135...

Насколько ошеломляющее и неожиданное заключение! Какое элегантное доказательство! Но пифагорейцы считали необходимым скрывать это великое открытие.

ПРИЛОЖЕНИЕ 2. Пять пифагоровых [242] тел

Правильный многоугольник - это двумерная фигура с определенным числом л одинаковых сторон. В случае л = 3 получается равносторонний треугольник, при = 4 - квадрат, при л = 5 - правильный пятиугольник и т. д. Многогранник - это трехмерная фигура, все стороны которой являются многоугольниками. Например, куб имеет шесть квадратных граней. Правильным называют многогранник, все грани которого представляют собой одинаковые правильные многоугольники, причем в каждой вершине сходится одинаковое число граней. Для работ пифагорейцев и Кеплера фундаментальное значение имеет факт, что существует пять, и только пять, правильных тел. Простейшее доказательство этого факта можно получить из открытого значительно позже Декартом и Леонардом Эйлером соотношения, связывающего число граней F, число ребер Е и число вершин Ив любом многограннике:

242

В русскоязычной литературе принято говорить о Платоновых телах.
– Пер.

V-E+F=2. (2)

Так, у куба 6 граней (F= 6) и 8 вершин (V = 8). Отсюда получаем: 8 - + 6 = 2; 14 - Е = 2 и = 12. Уравнение (2) предсказывает, что у куба 12 ребер, и это соответствует действительности. Простое геометрическое доказательство уравнения (2) можно найти в книге Куранта и Роббинса «Что такое математика?» [243] . Пользуясь уравнением (2), легко доказать, что существует всего пять правильных тел.

243

Курант Р., Роббинс Г. Что такое математика? Элементарный очерк идей и методов. РХД, 2001.

Каждое ребро правильного многогранника является общей стороной двух прилегающих друг к другу граней. Возвращаясь к примеру с кубом: каждое ребро - это граница между двумя квадратами. Если мы подсчитаем все стороны всех граней многогранника nF, то каждое ребро окажется сосчитанным дважды, то есть

nF = 2 E (3)

Обозначим r число ребер, которые сходятся в одной вершине. Для куба r = 3. Кроме того, каждое ребро соединяет две вершины. Если мы подсчитаем концы всех ребер /V, то вновь сосчитаем каждую вершину дважды, то есть

rV = 2E (4)

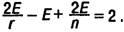
Подставляя выражения для V и F из уравнений (3) и (4) в уравнение (2), получаем:

Деление обеих частей уравнения на 2Е дает:

(5)

Мы знаем, что значение л не может быть меньше 3, поскольку треугольник является простейшим многоугольником. Нам также известно, что r не может быть меньше 3, поскольку в каждой вершине многогранника сходится не меньше трех граней. Если n и r одновременно будут больше 3, то с учетом того, что они являются целыми числами, левая часть уравнения (5) окажется меньше либо равна 1/2, и ни при каком значении Е оно не будет превращаться в равенство. Таким образом, осуществив reductio ad absurdum, мы доказали, что либо n =3 и r >= 3, либо r = 3 и n >= 3.

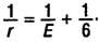
Если n = 3, уравнение (5) принимает вид

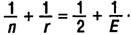
(1/3) + (1/r ) = (1/2) + (1/Е ) или

(6)В данном случае г может принимать только значения 3, 4 и 5. (При л, равном и большем 6, уравнение не имеет решений.) Значения n = 3, r = 3 соответствуют многограннику, у которого в каждой вершине сходится по три треугольника. Согласно уравнению (6) он имеет 6 ребер; согласно уравнению (3) у него 4 грани; согласно уравнению (4) - 4 вершины. Очевидно, что это пирамида, или тетраэдр. При n = 3, r = 4 получаем восьмигранник, у которого в каждой вершине сходится по четыре треугольные грани, - октаэдр. Значения n = 3, r = 5 соответствуют икосаэдру - многограннику с двадцатью треугольными гранями, в каждой вершине которого сходится по пять треугольников.

  • Читать дальше
  • 1
  • ...
  • 88
  • 89
  • 90
  • 91
  • 92
  • 93
  • 94
  • 95
  • 96
  • 97

Private-Bookers - русскоязычная библиотека для чтения онлайн. Здесь удобно открывать книги с телефона и ПК, возвращаться к сохраненной странице и держать любимые произведения под рукой. Материалы добавляются пользователями; если считаете, что ваши права нарушены, воспользуйтесь формой обратной связи.

Полезные ссылки

  • Моя полка

Контакты

  • help@private-bookers.win

Подпишитесь на рассылку: