1. каталог Private-Bookers
  2. Образование и наука
  3. Книга "DNA und Krebs"
DNA und Krebs
Читать

DNA und Krebs

Baiguzhina Zakia

Образование и наука

:

учебная и научная литература

.
Es gibt mehrere Theorien, die das Auftreten einer solchen Krankheit wie Krebs erkl?ren. Aber gibt es einen verbindenden Anfang in ihnen? Gibt es einen einzigen Mechanismus der Tumorbildung? Das neue Konzept wird versuchen, diese Zusammenh?nge aufzudecken und den m?glichen Mechanismus der Bildung b?sartiger Neubildungen zu erkl?ren.
Die Verwaltung der Webseite LitRes ist f?r die vorgelegten Informationen nicht verantwortlich. Es kann medizinische Kontraindikationen geben, eine Beratung durch einen Spezialisten ist notwendig.

Krebs … Diese Krankheit erschreckt diejenigen, wem diese Diagnose gestellt wurde. Es klingt bedrohlich, wie ein Urteil, obwohl derzeit einige Formen von Krebs bereits erfolgreich behandelt werden, aber diese Krankheit ist immer noch nicht vollst"andig verstanden. Daher stellt sich die Frage: Warum w"ahlt diese Krankheit einige, umgeht aber andere?

Man sagt, wenn Sie den Grund f"ur die eine oder andere Aktion kennen, dann ist der Sieg bereits zur H"alfte errungen. Wenn die Ursache dieser Krankheit aufgedeckt wird, dann haben wir 50% bereits gewonnen.

Es bleibt "ubrig, noch 50 % bis zum vollen Sieg zu finden, das heisst, neue, erfolgreiche Behandlungsmethoden zu entwickeln, einfache schmerzlose Wege der Diagnose zu finden, pr"aventive Massnahmen zur Bek"ampfung von Krebs und anderen b"osartigen Neubildungen zu meistern.

Es gibt mehrere Hypothesen der Entwicklung dieser Krankheit, und sie sind alle auf unverst"andliche Ver"anderungen in der DNA – Desoxyribonukleins"aure, wodurch sich dieses Molek"ul unkontrolliert zu verdoppeln beginnt und dementsprechend die Zahl der modifizierten Zellen zunimmt. Infolgedessen bildet sich ein Tumor.

Diese wissenschaftlich entwickelten Hypothesen sind durch einen verborgenen, unsichtbaren Faden miteinander verbunden – Ver"anderungen in der DNA.

Das beste Forschungsinstitut ist die Natur selbst! Sie findet vern"unftige, einfache Wege, um ihre Aufgaben zu l"osen.

Die Natur ist weise, wirtschaftlich, deshalb weiss sie, wie es sein sollte.

Solchen ist und die Struktur der DNA.

Die Struktur des DNA-Molek"uls ist gut bekannt, und das ist das Verdienst von Francis Harry Compton Crick (1916-2004) und

James Dewey Watson (geboren 1928). Sie ver"offentlichten am 25. April 1953 in der Zeitschrift Nature einen Artikel "uber die r"aumliche Struktur der DNA.

Die B-Form der DNA kommt haupts"achlich in einer lebenden Zelle vor und hat folgende Struktur.

DNA besteht aus zwei antiparallelen Polynukleotid-Ketten, die spiralf"ormig um ihre Achse verdreht sind.

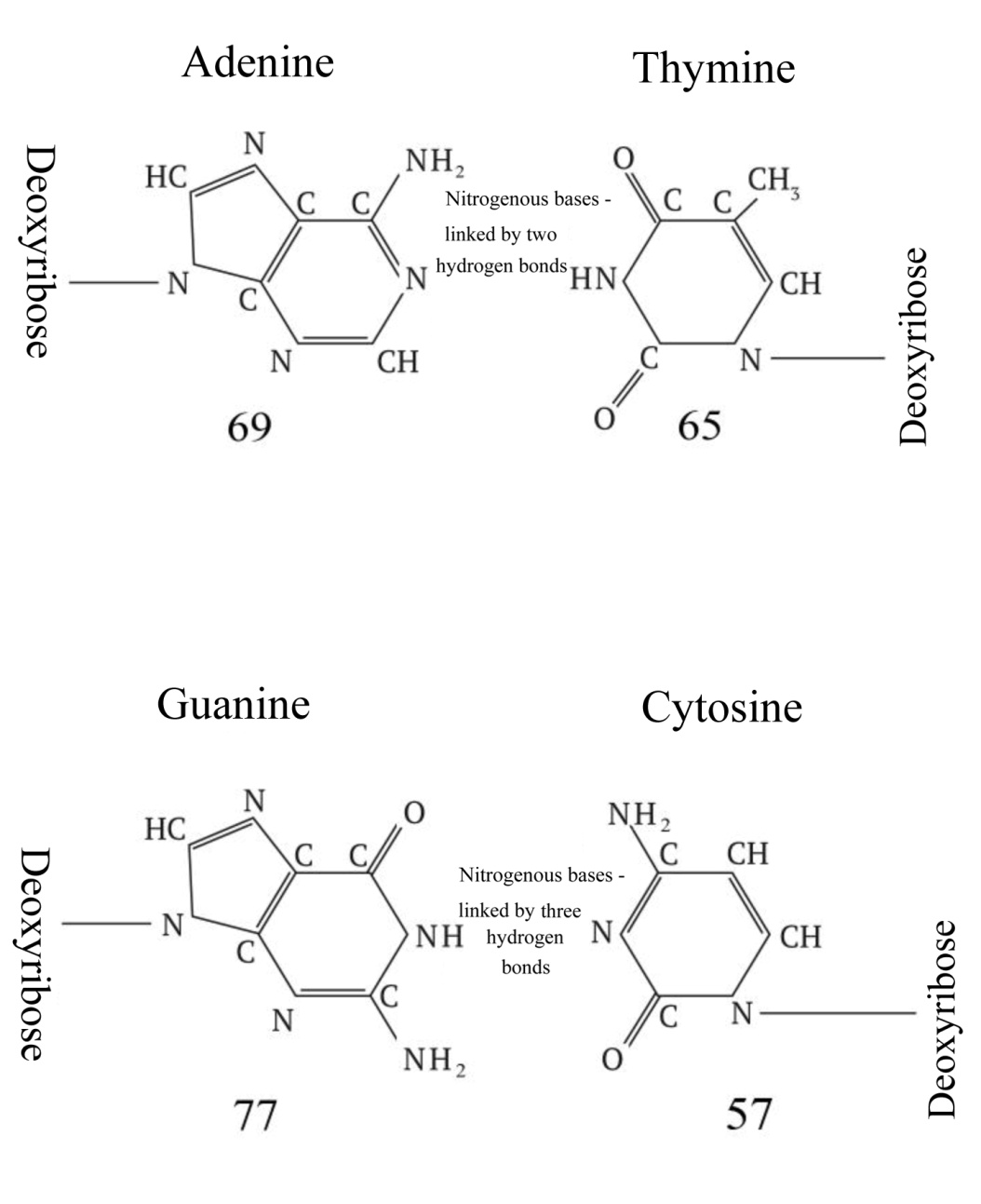
An der Peripherie des Molek"uls befinden sich Kohlenhydrat-Phosphat-Ketten mit stickstoffhaltigen Heterocyclen im Inneren. Die Zusammensetzung der DNA umfasst vier stickstoffhaltige Basen: Purinen – Adenin und Guanin, Pyrimidinen – Thymin und Cytosin. Aber es gibt Ausnahmen, zum Beispiel, einige Viren haben ein anderes Derivat von Pyrimidin – Uracil.

Die stickstoffhaltigen Basen der einen Parallelkette verbinden sich mit einer bestimmten Base der anderen, gem"ass der Chargaff-Regel: Adenin verbindet sich mit Thymin, Guanin mit Cytosin.

Anordnung der komplement"aren stickstoffhaltigen Basen in der DNA

(Abbildung – Englische Version)

Adenin (A) Guanin (G) Cytosin (C) Thymin (T)

Desoxyribose

Adenin (A) und Thymin (T)

Stickstoffhaltige Basen sind durch zwei Wasserstoffbindungen verbunden.

Guanin (G) und Cytosin (C)

Stickstoffhaltige Basen sind durch drei Wasserstoffbindungen verbunden.

Es gibt ein weiteres Geheimnis in diesem Molek"ul, das bisher unbekannt geblieben ist. Das ist RM. Auf dem Schema k"onnen Sie die Zahlen sehen. Diese Zahlen zeigen die Summe der Elektronen jeder stickstoffhaltigen Base, die in der DNA enthalten ist.

In Adenin betr"agt die Gesamtzahl der Elektronen 69, in Thymin 65, in einem anderen Paar enth"alt Guanin 77 Elektronen, Cytosin 57.

Nach der Addition, entsprechend der Anordnung der stickstoffhaltigen Basen in den komplement"aren Paaren, erhalten wir die folgenden Ergebnisse:

Adenin + Thymin = 69 + 65 = 134

Guanin + Cytosin = 77 + 57 = 134

RM ist die Gesamtzahl der Elektronen in den komplement"aren Ebenen der DNA und betr"agt 134.

Zahlen haben wahrheitsgem"asse Gesetze. Sie erlauben nicht, sich mit erfundenen Ideen, Hypothesen zu besch"aftigen. Die Zahlen ordnen alles an ihren Pl"atzen an.

Schlussfolgerung:

Nach dem Coulomb-Gesetz wirken zwischen den komplement"aren Paaren stickstoffhaltiger Basen im DNA-Molek"ul gleiche elektrostatische Abstossungskr"afte.

RM-gibt dem Molek"ul Stabilit"at, indem es die DNA gleichm"assig entlang seiner Achse verdreht, um die elektrostatischen Abstossungskr"afte zur"uckzusetzen.

F^1 = F^2… = F

Bei der Methylierung von Cytosin wird eine Methylgruppe (– CH) aus dem Akzeptor von S-Adenosylmethionin an Cytosin addiert, dieser Vorgang wird durch die Methyltransferase katalysiert, die Anzahl der Elektronen steigt im G-C-Paar, die DNA verdreht sich st"arker als Folge der Wirkung von elektrostatischen Kr"aften (F).

Конец ознакомительного фрагмента.

Без серии

DNA und Krebs
Die Zahl RM in der DNA. Nichtcodierende DNA

Private-Bookers - русскоязычная библиотека для чтения онлайн. Здесь удобно открывать книги с телефона и ПК, возвращаться к сохраненной странице и держать любимые произведения под рукой. Материалы добавляются пользователями; если считаете, что ваши права нарушены, воспользуйтесь формой обратной связи.

Полезные ссылки

  • Моя полка

Контакты

  • help@private-bookers.win