1. каталог Private-Bookers
  2. Книги по IT
  3. Книга "Вычислительная математика"
Вычислительная математика
Читать

Вычислительная математика

Альмухаметов Валерий

Книги по IT

:

прочая компьютерная литература

.
Вычислительная математика (легко и просто) с помощью примеров, графической интерпретации и популярных языков программирования Basic, Pascal, C#.

Методы вычислительной математики делятся на точные и приближенные. Точные методы применяются в тех случаях, когда известны расчетные формулы, а также конкретное значение коэффициентов в них.

Существуют ситуации, когда расчетная формула неизвестна, или слишком сложна; величины, которые используются в вычислениях, заданы неявно; коэффициенты, содержащиеся в уравнениях, известны лишь приблизительно. Поэтому важное значение приобретают способы приближенного нахождения решения и оценки степени их точности.

Предлагаются к изучению простейшие численные модели, решение систем линейных уравнений, численное интегрирование и дифференцирование, методы решения задачи Коши для обыкновенных дифференциальных уравнений, методы конечных разностей решения уравнений в частных производных.

Методы вычислительной математики применяются также для поиска экстремального значения целевой функции в оптимизационных задачах, в том числе в нелинейных.

При обработке результатов эксперимента часто возникает задача построения эмпирической формулы, дающей аналитическое выражение функциональной зависимости, заданной таблицей. Для этого пользуются аппроксимацией функций по способу наименьших квадратов.

При использовании численных методов необходимо помнить о физической сущности рассматриваемых математических задач.

Некоторые задачи вычислительной математики можно решить, используя возможности табличного процессора Excel. Практически все задачи вычислительной математики можно решить в среде программного продукта Mathcad.

НАХОЖДЕНИЕ ПОЛИНОМА ПО СХЕМЕ ГОРНЕРА

Для вычисления полинома n-й степени можно использовать схему Горнера: Y=((…((an*x +an– 1)*x + an– 2)*x +… +a2)*x + a1)*x + a0

рекуррентная формула при этом выражается в виде:

i = n Yi = аn Yi – 1= Yi x + ai

Алгоритм метода

Пример программы на языке Pascal

VAR N,I:INTEGER;X,Y:REAL;A:ARRAY[0..10] OF REAL;

BEGIN

WRITE('Введите N=');READLN(N);

WRITE('Введите X=');READLN(X);

WRITELN('Введите коэффициенты:');

FOR I:=0 TO N DO BEGIN

WRITE('A[',I,']=');READLN(A[I]);END;

Y:=A[N];

FOR I:=N-1 DOWNTO 0 DO Y:=Y*X+A[I];

WRITELN('Результат Y=',Y); END.

ВЫЧИСЛЕНИЕ ОПРЕДЕЛЕННЫХ ИНТЕГРАЛОВ

Задача численного интегрирования состоит в нахождении приближенного значения интеграла. Отрезок (ab) разбивается на определенное число интервалов N, в зависимости от требуемой точности вычисления.

Формула ПРЯМОУГОЛЬНИКА

шаг: h=(b-a)/N

Геометрическая интерпретация метода:

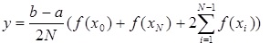
Формула ТРАПЕЦИИ

шаг: h=(b-a)/N О – показатель точности вычислений

Геометрическая интерпретация метода:

Алгоритм метода трапеций:

Решить задачу:

Методом трапеций найти значение интеграла функции Y = x – Cos(x) в пределах от 0 до 2.

Пример программы (Pascal):

PROGRAM P10;

FUNCTION FUN(X:REAL):REAL;

BEGIN

FUN:=X-COS(X); END;

VAR H,X,Y,A,B:REAL; I,N:INTEGER;

BEGIN

WRITELN('Ввести данные A(0),B(2),N(1000) = ');

READ(A,B,N);

X:=0; Y:=0; H:=(B-A)/N;

FOR I:=1 TO N-1 DO BEGIN

X:=X+H;Y:=Y+FUN(X);END;

Y:=H/2*(FUN(A)+FUN(B)+2*Y);WRITELN('Результат= ',Y);

END.

(Результат для 1000 шагов: 1.09070287627348)

Решить задачу:

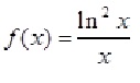
Задача. Найдите значение определенного интеграла от функции

на интервале [1; 4], количество разбиений n = 52.

Пример программы на языке Pascal

CONST N = 52; A = 1; B = 4;

VAR Y0, YN, X, S, H: REAL;I: INTEGER;

BEGIN

H := (B-A)/N; Y0 := SQR(LN(A))/A;

YN := SQR(LN(B))/B; S := (Y0 + YN)/2;

FOR I:= 1 TO N-1 DO

BEGIN

X := A + I*H;

S := S + SQR(LN(X))/X

  • Читать дальше
  • 1
  • 2
  • 3
  • 4

Без серии

Программирование
Вычислительная математика
Сборник упражнений для освоения программ Ms Office
Компьютерная графика
Разработка и проектирование СУБД
Моделирование

Private-Bookers - русскоязычная библиотека для чтения онлайн. Здесь удобно открывать книги с телефона и ПК, возвращаться к сохраненной странице и держать любимые произведения под рукой. Материалы добавляются пользователями; если считаете, что ваши права нарушены, воспользуйтесь формой обратной связи.

Полезные ссылки

  • Моя полка

Контакты

  • help@private-bookers.win