Агей
вернуться

Бахревский Владислав Анатольевич

Шрифт:

– Кто был первым русским летописцем?

– Я думаю, что так вопрос нельзя поставить.

– Не умничайте, Богатов. Отвечайте по существу.

– Первой дошедшей до нас летописью является «Повесть временных лет», но наверняка были и другие летописи. Как знать, может, чудо еще впереди. Может быть, сыщется и донесторовская летопись.

– Учитесь, Богатов, точно отвечать на вопросы. Я вас прошу назвать имя первого летописца.

Агей сдвинул брови.

– Первого не знаю. Монах Нестор факты для своей повести брал из других, более ранних летописных сводов.

– Достаточно, Богатов! – Историчка села и стала переносить оценки из тетради в журнал. – Итак, начало опроса дало нам следующие результаты: Крамарь – пять, Огнев – четыре, Федоров – пять, Богатов – три.

– Три?! – вскричала Света Чудик.

– Что вас так удивило?

– Несправедливость!

– Это нечто новое.

– Почему Федорову пять, а Богатову – три?

– Я уже тридцать лет изо дня в день ставлю оценки, деточка, и, смею думать, научилась распознавать отличный ответ от посредственного.

– Мы вчера готовились вместе. Богатов прочитал главу из истории Соловьева. Вот такой томище. Читал «Памятники», Чивилихина, византийцев.

– У нас не академия. – Вера Ивановна сначала нахмурилась, но потом раздумала и улыбнулась. – Не академия. У нас школа. Седьмой класс. Нам бы учебник осилить. Особенно такому классу, как «В». Годунов!

Годунов встал.

– Учили?

– Нет, – сказал Годунов.

– Вот так-то, Света Чудик. Единица, Годунов.

– А вам словно бы в радость?

– Кто сказал?

Встали и Курочка, и Рябов. Вера Ивановна показала им на дверь. Они вышли.

– Несправедливо! – снова вдруг крикнула Света Чудик и расплакалась.

Вера Ивановна побледнела: она не любила громких неприятностей.

Математика и литература

Вячеслав Николаевич тоже опрашивал. Поставил троечку Годунову, а Мишину четверку.

– Если бы не твои постоянные соревнования, мог бы иметь полновесные пять баллов, – говорил Мишину, а смотрел на Агея. – Богатов, идите к доске. Запишите. Вычислить, не решая квадратного уравнения

– корни уравнения:

– Вячеслав Николаевич! – возмутилась Света Чудик, она хотела сказать, что этого не проходили, но учитель приложил палец к губам.

Агей, быстро пощелкивая мелом, расправлялся с заданием.

– Теорема Виета.

Ну а дальше делать нечего. Только цифры подставить.

– Так, – сказал Вячеслав Николаевич, глянув на доcку, c программой седьмого класса все ясно. Богатов, а решите к и вот это! Первая слева цифра шестизначного числа единица. Если сию цифру переставить на последнее место, то получится число в три раза больше первоначального. Найдите первоначальное число. Агей записал:

1abcde=142857

1abcdex=abcdel=428571

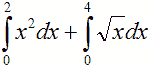
– С ответом сходится. Тогда еще одно, последнее задание. Вячеслав Николаевич взял у Богатова мел и записал:

– Это запись интеграла. Что такое интеграл? Объяснять долго, но данный интеграл численно равен площади фигуры, ограниченной функцией у=х2 на промежутке от нуля до двух.

Агей, не отрывая глаз от доски, забрал мел назад и, улыбаясь, написал ответ: «8».

– График начертить?

– А ты видишь этот график?

– Вижу. Одна фигура накладывается на другую. Получается прямоугольник.

– Верно. А главное – быстро и красиво! У математики своя красота. Жаль, что не всем дано это видеть. Спасибо, Богатов, садитесь.

Агей сел, а Вячеслав Николаевич стоял перед доской, как перед картиной.

– А какая отметка? – спросила Света Чудик.

– Отметка? – Вячеслав Николаевич не понял. – Ах, отметка!.. В отметке ли дело?

– В отметке! – Света встала, глаза у нее сверкали гневом. – Богатову трояк по истории влепили. Ни за что!

– Садись, Света! – улыбнулся Вячеслав Николаевич. – Я Богатову отметку не зажилю, будь спокойна. Только уже не в отметках дело. – Показал на доску. – Это очень серьезно. Чтобы так видеть математику, так ее чувствовать – мало знать. Это, братцы мои, талант!

Валентина Валентиновна положила на стол журнал, тетради, сумочку, прошла к окну и несколько минут стояла в задумчивости. Класс ждал.

  • Читать дальше
  • 1
  • ...
  • 10
  • 11
  • 12
  • 13
  • 14
  • 15
  • 16
  • 17
  • 18
  • 19
  • 20
  • ...

Private-Bookers - русскоязычная библиотека для чтения онлайн. Здесь удобно открывать книги с телефона и ПК, возвращаться к сохраненной странице и держать любимые произведения под рукой. Материалы добавляются пользователями; если считаете, что ваши права нарушены, воспользуйтесь формой обратной связи.

Полезные ссылки

  • Моя полка

Контакты

  • help@private-bookers.win